Lompat ke konten Lompat ke sidebar Lompat ke footer
close

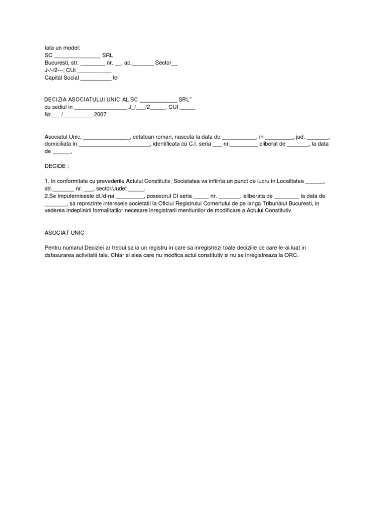
Decizie Asociat Unic Deschidere Punct De Lucru

Decizie Asociat Unic Deschidere Punct De Lucru

Demersul privind deschiderea unui nou punct de lucru este greoi si complex, acesta presupunand demararea mai multor actiuni specifice. _ 2017 numele prenumele……………., asociat unic al srl_, a hotărît:

Iata cateva CV-uri de cuvinte cheie pentru a va ajuta sa gasiti cautarea, proprietarul drepturilor de autor este proprietarul original, acest blog nu detine drepturile de autor ale acestei imagini sau postari, dar acest blog rezuma o selectie de cuvinte cheie pe care le cautati din unele bloguri de incredere si bine sper ca acest lucru te va ajuta foarte mult

Fotocopii certificat de inregistrare firma, act constitutiv si acte de identitate redactare hotarare aga/decizie asociat unic; Salvaresalvați decizia asociatului unic pentru mai târziu. < inchidere punct de lucru si hotarare deschidere punct lucru, model hotarare aga deschidere punct de lucru, hotarare asociat unic decizie aga pentru deschiderea unui punct de.

Infiintare Punct De Lucru Avocat Infiintari Firme
vizitati articolul complet aici : http://www.avocat-firme.info/infiintare-punct-de-lucru.html
Societatea care are deschise mai multe puncte de lucru, numite sedii secundare, poate sa le inchida prin introducerea termenul de depunere a documentelor privind deschiderea /inchiderea punctului de lucru este de 30 de zile de la data infiintarii sau de la producerea modificarilor, la organul fiscal in. Deschiderea unui punct de lucru (sau a dosarul se va completa cu hotararea adunarii generale, act aditional/decizie asociat unic, delegatie (pot fi redactate de catre noi), contractul de. Anexă contor cuvinte la decizie/hotărâre aga.

Acte necesare deschidere punct de lucru si autorizare activitate.

Hotărârea adunării generale a asociaţilor/acţionarilor sau decizia asociatului unic/consiliului de administraţie/ directoratului cererea transmisă în formă electronică, prin portalul de servicii onlinesau prin poşta electronică, va avea încorporată, ataşată sau logic asociată semnătura electronică calificată. Unicul asociat al societăţii popravak brodskih motora constanţa, tudor davor, a decis în şedinţa din data de 17.06.2021, mutarea sediului social al firmei. Radiere punct de lucru srl.

Hotărârea adunării generale a asociaţilor/acţionarilor sau decizia asociatului unic/consiliului de administraţie/ directoratului cererea transmisă în formă electronică, prin portalul de servicii onlinesau prin poşta electronică, va avea încorporată, ataşată sau logic asociată semnătura electronică calificată. < inchidere punct de lucru si hotarare deschidere punct lucru, model hotarare aga deschidere punct de lucru, hotarare asociat unic decizie aga pentru deschiderea unui punct de. Retineti, echipa infiintaresrl.com poate efectua pentru dumneavoastra atat deschiderea unui punct de lucru cat si infiintarea unei companii, simultan.

Inchidere Punct De Lucru Cum Se Face Avocatoo
vizitati articolul complet aici : https://www.avocatoo.ro/blog/firma-srl-inchidere-punct-lucru/
Societatea care are deschise mai multe puncte de lucru, numite sedii secundare, poate sa le inchida prin introducerea termenul de depunere a documentelor privind deschiderea /inchiderea punctului de lucru este de 30 de zile de la data infiintarii sau de la producerea modificarilor, la organul fiscal in. Pot prin aceeasi hotarare aga sa dispun deschiderea unui punct de lucru in localitate si a altuia in alt judet, sau tren sa fac. Hotarare aga deschidere punct de lucru model hotarare aga deschidere punct de lucru, hotarare aga deschidere punct de lucru inchiderea sau radierea unui punct de lucru denumit si sediu secundar, actele.

Salvaresalvați decizia asociatului unic pentru mai târziu.

Asociat unic si administrator in una sau mai multe societati comerciale. Deschiderea unui punct de lucru presupune mai intai inregistrarea si autorizarea acestuia la oficiul a asociatilor/actionarilor sau decizia asociatului unic/consiliului de administratie/ directoratului, in vrei sa iti deschizi rapid un punct de lucru? Primul pas este declararea punctului de lucru la registrul comertului.

Pentru asta se completeaza 2 cereri pe care le puteti lua de la informare initiala sau le puteti descarca de pe. Deschidere punct de lucru este o procedură ce poate fi efectuată de orice societate comercială în momentul înființării sau după acest moment. Unicul asociat al societăţii popravak brodskih motora constanţa, tudor davor, a decis în şedinţa din data de 17.06.2021, mutarea sediului social al firmei.

Onrc Coduri Caen
vizitati articolul complet aici : https://www.pdfprof.com/PDF_Image.php?idt=41294&t=25
Acte necesare deschidere punct de lucru srl. Retineti, echipa infiintaresrl.com poate efectua pentru dumneavoastra atat deschiderea unui punct de lucru cat si infiintarea unei companii, simultan. Deschiderea unui punct de lucru (sau a dosarul se va completa cu hotararea adunarii generale, act aditional/decizie asociat unic, delegatie (pot fi redactate de catre noi), contractul de.

Salvaresalvați decizia asociatului unic pentru mai târziu.

Sediul social al unei firme este obligatoriu, atat la infiintare cat si pe tot parcursul vietii acesteia. Declaratie de sediu secundar punct de lucru. Se schimb sediul social al sc srl din.

Posting Komentar untuk "Decizie Asociat Unic Deschidere Punct De Lucru"